一、MYCZ型系列标准化工泵产品概述
TMCZ型系列标准化工泵卧式、单级、单吸式离心泵;其尺寸和性能符合DIN24256/ISO2858标准
TMCZ型系列标准化工泵的性能范围包括了IH系列标准化工泵所有性能,其效率、汽蚀性能等指标均超过IH型泵
输送低温或高温液体:中性或有腐蚀性液体,清洁或内含有固体颗粒的液体。
二、MYCZ型系列标准化工泵产品技术特点
普及性高
性能稳定
不锈钢材质有304,316L,CD-4Mcu,904,904L,哈氏合金等
密度范围:P=1.0~1.84×103kg/m3
介质温度:-20℃∽+180℃范围之间;
系统工作压力:≤1.6MPa
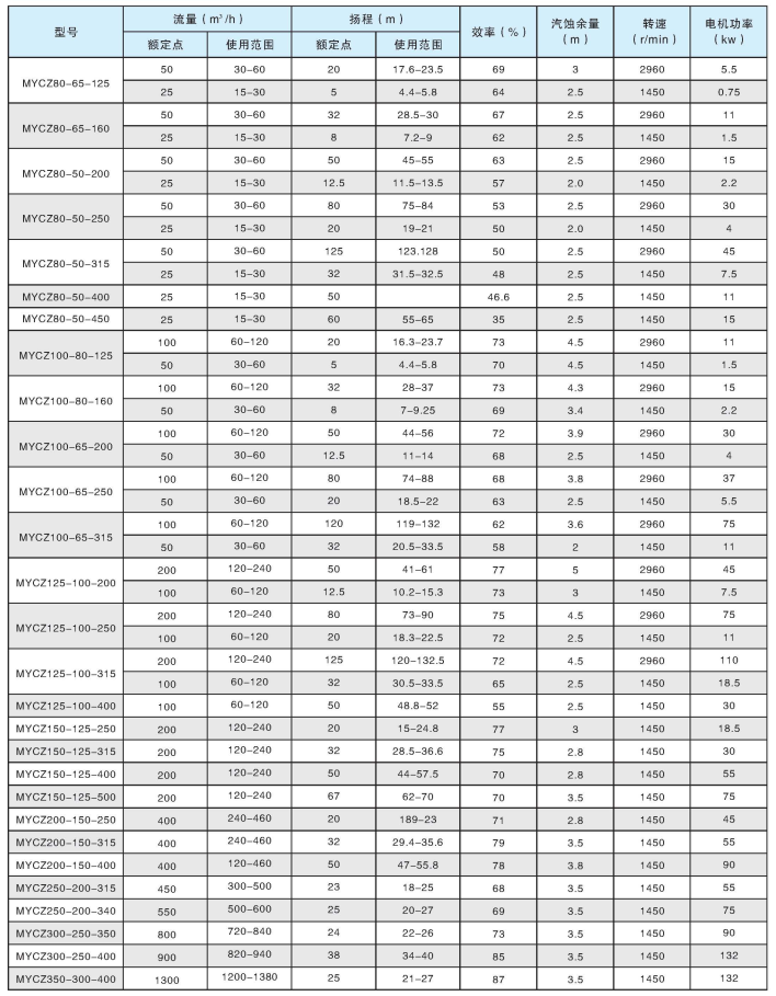
流量:3.4∽460m3/h
扬程:H3.6∽132m
三、TMYCZ型系列标准化工泵产品用途
TMCZ型系列标准化工泵适于化工、石油、石油化工、冶金、轻工、印染、制药、环保、海水淡化、海上采油、造纸、食品等工业部门输送不含固体颗粒的有机或无机化工介质、石油产品及腐蚀性的液体。
四、MYCZ型系列标准化工泵型号意义
MYCZ 80-65-160 MYCZ国际标准化工泵 80代表进口直径mm) 65代表出口直径mm) 160代表叶轮名义直径(mm)
评论留言